KRCA 0008
- 5mg (BCC8007) Please inquiry
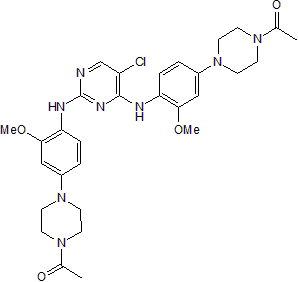
Product Name:KRCA 0008
Catalog NO.:BCC8007
CAS NO.:1472795-20-2
Molecular Formula:C30H37ClN8O4
Molecular Weight:609.12
Chemical Name:1,1'-[(5-Chloro-2,4-pyrimidinediyl)b
Purify method:HPLC-DAD
Purity:>98% as determined by HPLC
storage:Store at -20°C
Solubility:Soluble to 100 mM in 1eq. HCl and to 100 mM in DMSO and to 100 mM in ethanol
Proton NMR Spectrum:Conforms to Structure
Shipping:In general, the natural products are provided as powder which are shipped at ambient temperature. A hardcopy of signed COA is sent along with the products. Please refer to it for detailed information. The packaging of the product may have turned upside down during transportation, resulting in the natural compounds adhering to the neck or cap of the vial. take the vial out of its packaging and gently shake to let the compounds fall to the bottom of the vial.

